Pathfinder Level Up Checklist
Check your class entry to see how many hit points you gain when you go up a level. A sorcerer leveling from 5 to 6 can now cast 6 1st level spells 5 2nd level spells and 3 3rd level spells per day.
Use This Xp Checklist To Make Your Pathfinder Character Cooler
Character gets 2 feats.

Pathfinder level up checklist. This is a typeless nonmagical bonus that cannot be changed once selected. Increase your level by 1 and subtract 1 000 xp from your xp total. Introduction leveling up leveling up checklist source core rulebook pg.
The class feats as expected seem to be the equivalent of 1e s rogue talents and rage powers. How much is this increase. Increase your maximum hit points by the amount listed in your class entry in chapter 3.
Character gets 3 feats. Class talents look like the equivalent of 1e s class features since spellcasting is a class talent. While our flowcharts cover specific and sometimes technical planning issues checklists are more high level and designed to make sure advisors don t miss a planning issue a brief philosophy of our approach to checklists.
Increase your maximum hit points by the amount listed in your class entry in chapter 3. Character advancement checklist every time you gain a level make sure you do each of the following. What ability scores does it affect.
Academia edu is a platform for academics to share research papers. Increase your maximum hit points by the amount listed in your class entry in chapter 3. Character is 1st level and is a human or a fighter but not both.
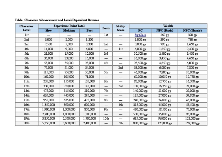
31 every time you gain a level make sure you do each of the following. Character advancement and level dependent bonuses a character gains an ability score increase at level 4 8 12 16 and 20. Increase your level by 1 and subtract 1 000 xp from your xp total.
Add class features from your class advancement table including ability boosts and skill increases. Seems like you ll get guaranteed ancestry feats as you level up which makes race ancestry an actually interesting choice even after level 1. At 4th level a character can increase one ability score by 1.
7 determine starting hit points hp a character starts with maximum hit points at 1st level the maximum number on its hit die or if its first hit die roll is for a character class level. Increase your level by 1 and subtract 1 000 xp from your xp total. Your characters ability score also grants bonus spells per day so check the bonus spells per day table to determine if you gain any hint.
Leveling checklist this is a list of steps to take when your character levels up to make sure he or she is properly updated when the party level increases. New checklist additions today we are releasing two new checklists for our members. Character is a 1st level human fighter.
Every time you gain a level make sure you do each of the following. You probably do if you cast spells.
Leveling Checklist Dani S Super Happy Pathfinder Fun Time
How To Level Up A Pathfinder Character Youtube
D D Adventurers League Adventure Checklist Merric S Musings
How To Level Up In Pathfinder First Edition Happy Go Londons
D D Player Pre Game Checklist D D Dungeons And Dragons D D Dungeon
Fppathfinder Be More Diligent In Your Financial Planning Process
Pathfinder Product Checklist Updated June 2019 And Probably
Consent Checklist Posted In The Rpghorrorstories Community In
Paizo Com Community Paizo Blog
Diary Pathfinder I Know How To Level Up Characters I Think
Use This Xp Checklist To Make Your Pathfinder Character Cooler
Lauren Bryant Monk On Twitter I Adapted The Rpg Consent
D D Pre Game Checklist For Beginners Tribality
Pathfinder Character Advancement Role Playing Games Role Playing
Fppathfinder Be More Diligent In Your Financial Planning Process
Character Creation Outline D20pfsrd
Guided Seo For Site Owners Pathfinder Seo
Use This Xp Checklist To Make Your Pathfinder Character Cooler
How To Level Up In Pathfinder First Edition Happy Go Londons
Level Up Checklist For Dnd 5e Master The Dungeon
Consent Checklist Rpghorrorstories
Leveling Checklist Dani S Super Happy Pathfinder Fun Time
How To Level Up In Pathfinder First Edition Happy Go Londons
Wifi Password Hacker Prank V1 10 Appo Wifipassword
Pdf Pathfinder Class Checklist Mark W Claus Academia Edu
I Found The Checklist For Any Dm S Aspiring To Be Mentioned On
35 Best Pathfinders Images Pathfinder Reading Certificates
Your Odyssey Voyage Checklist Omeda
Morris D Information Literacy Pathfinder Lesson Plan








Posting Komentar
Posting Komentar