Del In Spherical Coordinates
That change may be determined from the partial derivatives as du u r dr u. The laplacian is del 2 1 r 2 partial partialr r 2partial partialr 1 r 2sin 2phi partial 2 partialtheta 2 1 r 2sinphi partial partialphi sinphipartial partialphi.
Cool Math Tricks Deriving The Divergence Del Or Nabla Into New
The radial distance of that point from a fixed origin its polar angle measured from a fixed zenith direction and the azimuthal angle of its orthogonal projection on a reference plane that passes through the origin and is orthogonal to.

Del in spherical coordinates. Other situations in which a laplacian is defined are. Spherical coordinates can be a little challenging to understand at first. Table with the del operator in cylindrical and spherical coordinates operation cartesian coordinates x y z cylindrical coordinates ρ φ z spherical coordinates r θ φ.
The del operator from the definition of the gradient any static scalar field u may be considered to be a function of the spherical coordinates r θ and φ. 1998 partial differential equations american mathematical society. In spherical coordinates the scale factors are h r 1 h theta rsinphi h phi r and the separation functions are f 1 r r 2 f 2 theta 1 f 3 phi sinphi giving a stäckel determinant of s 1.
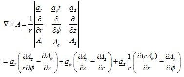
In other words the cartesian del operator consists of the derivatives are with respect to x y and z. A x x a y y a z z. This is a list of some vector calculus formulae of general use in working with standard coordinate systems.
Cartesian coordinates x y z cylindrical coordinates ρ φ z spherical coordinates r θ φ where φ is the azimuthal and θ is the polar angle α. To convert it into the spherical coordinates we have to convert the variables of the partial derivatives. In mathematics a spherical coordinate system is a coordinate system for three dimensional space where the position of a point is specified by three numbers.
Spherical coordinates also called spherical polar coordinates walton 1967 arfken 1985 are a system of curvilinear coordinates that are natural for describing positions on a sphere or spheroid define to be the azimuthal angle in the plane from the x axis with denoted when referred to as the longitude to be the polar angle also known as the zenith angle and. Table with the del operator in cartesian cylindrical and spherical coordinates. Spherical coordinates determine the position of a point in three dimensional space based on the distance rho from the origin and two angles theta and phi.
Expanded in 3 dimensional cartesian coordinates see del in cylindrical and spherical coordinates for spherical and cylindrical coordinate representations f is for f composed of f x f y f z. If one is familiar with polar coordinates then the angle theta isn t too difficult to understand as it. Del in cylindrical and spherical coordinates.
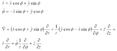
But spherical del operator must consist of the derivatives with respect to r θ and φ. Analysis on fractals time scale calculus and discrete exterior calculus. The value of u changes by an infinitesimal amount du when the point of observation is changed by d.
Del In Cylindrical And Spherical Coordinates Wikipedia
Del In Cylindrical And Spherical Coordinates Wikipedia
Solved I Need To Find A Way To Convert Del Operator From
Aside The Del Operator Youtube
Oblate Spheroidal Coordinates From Wolfram Mathworld
Solved C In Cylindrical Coordinates The Del Operator
Https Encrypted Tbn0 Gstatic Com Images Q Tbn 3aand9gcr1y5rhgwhs27jkgebxtfx Tx2upqo2qnl75byba40qeviccgy6 Usqp Cau
Explanation Of Divergence In Cylindrical Coordinates Where Does
Del In Cylindrical And Spherical Coordinates Wikipedia
Del In Cylindrical And Spherical Coordinates Wikipedia
Del Operator In Cylindrical Coordinate System Video In Hindi
How To Remember Del Operator In Spherical Cylindrical Co
Cylindrical Coordinate System Wikipedia
Http People Physics Illinois Edu Jew Courses Mathlinks Del 20in 20cylindrical 20and 20spherical 20coordinates 20 20wikipedia 20the Pdf
Del In Cylindrical And Spherical Coordinates Wikipedia
Del In Cylindrical And Spherical Coordinates Wikipedia
Solved C In Cylindrical Coordinates The Del Operator
Coordinate Systems And Transformations And Vector Calculus
Del In Cylindrical And Spherical Coordinates Wikipedia
Spherical Del Operator The Conversion From Cartesian To Spherical
Spherical Coordinates From Wolfram Mathworld
Ee2030 Electromagnetics I Ppt Video Online Download
How To Get The Gradient Of 1 R In Spherical Coordinates Youtube
Derivation Of Gradient Divergence And Curl In Cylinderical And
Del In Cylindrical And Spherical Coordinates Wikipedia
Spherical Coordinate System Wikipedia
Curl Of A Vector Field Web Formulas
Cool Math Tricks Deriving The Divergence Del Or Nabla Into New
Ppt Chemistry 330 Powerpoint Presentation Free Download Id
Del In Cylindrical And Spherical Coordinates Wikipedia
Calculus 3 Divergence And Curl 36 Of 50 Del Operator In
Coordinate Systems And Transformations And Vector Calculus
Del In Cylindrical And Spherical Coordinates Wikipedia
Derivation Of Gradient Divergence And Curl In Cylinderical And
Please Make A Note Vector Nabla Operations In Curvilinear
Posting Komentar
Posting Komentar