1 To 1 Function Inverse
Switch the x and y because every x y has a y x partner. Function pairs that exhibit this behavior are called inverse functions.
Composition And Inverse Functions
Free functions inverse calculator find functions inverse step by step this website uses cookies to ensure you get the best experience.
1 to 1 function inverse. A function is one to one if it passes the vertical line test and the horizontal line test. If no horizontal line intersects the graph of the function f in more than one point then the function is 1 to 1. If the graph of a function f is known it is easy to determine if the function is 1 to 1.
There are functions which have inverses that are not functions. F 1 y we say f inverse of y so the inverse of f x 2x 3 is written. A function f x has an inverse function.
Function 1 is not a 1 to 1 because the range element of 5 goes with two different elements 4 and 11 in the domain. A function is called one to one if no two values of x produce the same y. A one to one function has an inverse that is also a function.
Draw a vertical line through the entire graph of the function and count the number of times that the line hits the function. F 1 y y 3 2 i also used y instead of x to show that we are using a different value back to where we started. Make sure your function is one to one.
A function f has an inverse f 1 read f inverse if and only if the function is 1 to 1. Below you can see an arrow chart diagram that illustrates the difference between a regular function and a one to one function. One to one step 1.
Use the horizontal line test. There are also inverses forrelations. The inverse is usually shown by putting a little 1 after the function name like this.
Only one to one functions have inverses. When the function f turns the apple into a banana then the inverse function f 1 turns the banana back to the apple. Apply the horizontal line test.
Stick a y in for the f x guy. Arrow chart of 1 to 1 vs regular function. If f x is one to one.
This is a fairly simple definition of one to one but it takes an example of a function that isn t one to one to show just what it means. A one to onefunction is a function in which for every x there is exactly one y and for every y there is exactly one x. The cool thing about the inverse is that it should give us back the original value.
Sketch the graph of the function. Before formally defining inverse functions and the notation that we re going to use for them we need to get a definition out of the way. How to find the inverse of a function step 1.
Stick in the inverse notation. By using this website you agree to our cookie policy.
Finding The Inverse Of A Function Or Showing One Does Not Exist
Composition And Inverse Functions
3 7 Derivatives Of Inverse Functions Calculus Volume 1 Openstax
Https Encrypted Tbn0 Gstatic Com Images Q Tbn 3aand9gcs5jit 9e7xdgdghfrshxokwoisyj2acugojewbentbq52obt4e Usqp Cau
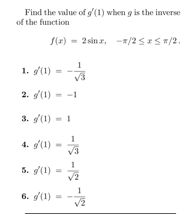
Solved Find The Value Of G 1 When G Is The Inverse Of T
Finding Inverse Functions Quadratic Example 2 Video Khan
Functions And Their Inverses Worked Examples
Functions Inverse And Composite Functions
Finding Function Inverses Examples Solutions Worksheets Videos
Inverse And Composite Functions Boundless Algebra
One To One Function Is The Inverse Of A Function A 1 To 1
Multiplicative Inverse Wikipedia
One To One Functions And Their Inverses Ck 12 Foundation
Section 3 6 One To One Functions Inverse Functions
Chapter 5 Section 5 3 Inverse Functions Ppt Download
11 4 Inverse Relations And Functions Ppt Download
Composition And Inverse Functions
Solved The Following Function Is 1 1 Find Its Inverse
How To Find Inverse Function Of X 1 X Given That F X Is
How To Tell If A Function Has An Inverse Function One To One 1
One To One Functions And Their Inverses Read Calculus Ck
Center For Academic Program Support One To One Functions And
4 1 One To One Functions Inverse Functions Target Goals 1
Lessons How To Inverse Functions
Solved The Following Function Is 1 1 Find Its Inverse F
Inverse Functions Undoing What Functions Do 6 1 2013 Inverse
Chapter 5 Section 5 3 Inverse Functions Ppt Download
Inverse Of A Function In Math Tutorial Explaining Inverses Step
Ex 1 Find The Inverse Of A Function Youtube
How To Find The Inverse Of A Function 1
Inverse Of Functions Mathbitsnotebook A2 Ccss Math
Understanding One To One And Inverse Functions Youtube
Functions Inverse And Composite Functions
One To One Functions And Their Inverses Ck 12 Foundation
Ex Restrict The Domain To Make A Function 1 To 1 Then Find The


Posting Komentar
Posting Komentar